Перейти к содержанию

Как выбрать вклад в банке. Расчет доходности. Налоги


У вас появились средства, которые вы хотели бы сохранить на банковском вкладе. Как найти подходящий вклад? На какие характеристики вклада нужно обращать внимание? Как сравнить доходность вкладов?

Для начала, давайте рассмотрим две главные заповеди вкладчика:

Заповедь первая. Не превышай лимита АСВ

Вклады в банках гарантированы государственным Агентством по страхованию вкладов (АСВ). Если у банка отзывают лицензию, а также при наступлении других страховых случаев, АСВ выплачивает не только сумму вклада, но даже проценты на дату отзыва лицензии. Причем, в последние годы, после того как банковская сфера была значительно почищена, возврат денег происходит быстро и безболезненно. Уже не приходится слышать о «тетрадках», «забалансовых счетах», «уроненных серверах» и прочих проблемах, которые некогда возникали при получении возмещения.

Но АСВ страхует вклады только в пределах суммы в 1 400 000 ₽ в одном банке. Если на момент отзыва лицензии у вас в банке оказалось больше страховой суммы, АСВ выплатит вам ровно 1 400 000 ₽. Остальная же часть денег будет возмещаться в ходе процедуры ликвидации банка. Сколько вам вернут – заранее не известно. Однако совершенно точно, что возврат затянется на года. А может и вообще не состояться, если денег у банка не окажется. Поэтому, разумный вкладчик старается, чтобы сумма на всех счетах в одном банке не превышала установленного лимита.

Нередко приходится слышать утверждения, что превышать лимит АСВ можно:

1. В государственных банках (Сбербанк, ВТБ, ПСБ, РСХБ), а также в других крупных системно-значимых банках .
2. В санируемых банках.

Если брать новейшую финансовую историю России (после учреждения АСВ), то действительно на было ни одного случая отзыва лицензии у системно-значимого банка. У санируемых банков отзывы были, но с передачей вкладов другим банкам. Впрочем... всё когда-то происходит в первый раз...

АСВ страхует только вклады, открытые в банках. Более того, в соответствии с законом «О банках и банковской деятельности» от 02.12.1990 № 395-1, вклады принимаются только банками, имеющими соответствующую лицензиею, и состоящими на учете в АСВ. Все прочие организации: МФО, кредитные кооперативы и т.д. и т.п. могут привлекать займы, но не вклады. Но заем и вклад – это совершенно разные понятия, определяющиеся разными законами.

Если вам предлагают открыть ВКЛАД в организации, не являющейся банком – вас пытаются обмануть. Если вам предлагают отдать деньги в заем, убеждая, что это «всё равно как вклад» – вас пытаются обмануть. Даже если вам говорят что этот лже-вклад или заем застрахован, он не может быть застрахован АСВ. АСВ работает только с банками. Вам могут говорить, что «вклад» - заем застрахован другим страховым обществом, даже с весьма известным именем. Не доверяйте. Уровень обманов, финансовых пирамид в этой сфере просто огромен. А «страхователь», обычно, разваливается вместе с пирамидой, которую он страховал.

Заповедь вторая. Если ставки по вкладам растут, открывай короткие вклады, по возможности с расходными операциями. Если ставки падают, открывай длинные вклады, по возможности с пополнением. Если ставки стабильны – комбинируй

Идеальный вклад тот, который можно пополнять весь срок действия, снимать часть вклада до сравнительно небольшого минимального остатка, а совсем хорошо – ещё и закрывать досрочно без потери процентов. Такие вклады существуют, но, увы, проценты по ним совсем не радуют.

Характеристиками, подобными «идеальному вкладу», обладают накопительные счета. Накопительный счет в банке почти не уступает вкладу. Деньги на нем также застрахованы АСВ. Единственный недостаток накопительного счета в том, что банк имеет право в любой момент изменить процентную ставку, а ставка по вкладу фиксируется на весь срок его действия.

Впрочем, если процентные ставки растут, то возможность изменения ставки накопительного счета даже выгодна вкладчику. Нет нужды перекладывать деньги с одного вклада на другой. Доходность будет расти сама по себе. Но если падают…

Открывая накопительный счет, обратите внимание на то, на какой остаток начисляются проценты. Обычно проценты начисляются на ежедневный остаток. Однако встречаются и «хитрые» накопительные счета, на которых проценты начисляются на минимальный остаток в течение месяца. Такие счета менее удобны. Ведь достаточно того, чтобы один день на счете не было денег, и вы не получите проценты за целый месяц!

Где можно найти подходящий вклад

Давно ушли те времена, когда потенциальный вкладчик обходил несколько близлежащих банков, записывая в блокнот характеристики понравившихся вкладов. В век Интернета работу по предварительному отбору можно поручить «искусственному интеллекту». Например, система поиска вкладов реализована на сайте таких маркетплейсов как Финуслуги или banki.ru

Впрочем, более чем достойную альтернативу «искусственному интеллекту» может составить интеллект коллективный. Так силами форумчан  ведутся Таблица вкладов с максимальными процентами в рублях, таблица Расходно-пополняемых вкладов и Таблица накопительных счетов. Выбор вкладов там, естественно, куда скромнее, но наиболее интересные и доходные вклады там есть, а поиск подходящего вклада занимает куда меньше времени и сил.

Нельзя не сказать особо про маркетплейс «Финуслуги». Главное достоинство маркетплейса в том, что вам достаточно один раз встретиться с его представителем, чтобы удостоверить свою личность. После этого можно работать с Финуслугами из любой точки мира, открывая через них вклады во многих банках, включая те, что не представлены в вашем регионе. Выбор вкладов там уже вполне достойный. 

Нечто подобное реализовано и на  banki.ru. Однако уровень реализации... скажем так, значительно уступает Финуслугам. Что, впрочем не удивительно, так как Финуслуги - продукт Московской биржы - организации в высшей степени надежной и авторитетной.

На какие характеристики вклада следует обращать внимание

Как и у любого другого инвестиционного инструмента, основные характеристики вклада – это его доходность, надежность, ликвидность и срок действия.

Про доходность мы будем говорить ниже более подробно. Здесь же только отметим, что доходность определяется процентной ставкой, а также способом выплаты дохода: в конце или в начале срока, ежемесячно или ежеквартально, с капитализацией или с выплатой на текущий (карточный) счет.

Надежность вклада определяется надежностью банка и того, насколько точно вы соблюдаете первую заповедь вкладчика. Если вы строго блюдете первую заповедь, то волноваться особо не о чем. Самая крупная неприятность, которая может случиться – двухнедельное ожидание с момента отзыва лицензии до момента возврата денег. Если же вы не хотите вкладывать свои деньги в малонадежный банк, то степень его надежности можно оценить по кредитному рейтингу и другим показателям, приведенным в разделе «Банки» на banki.ru.

Ликвидность – это возможность быстро и без потерь превратить инвестиционный инструмент в наличность (кэш). Причем тут нужно учитывать закрытие вклада как по сроку, так и досрочно.

По части «быстро» вклады отличаются друг от друга. В некоторых банках процесс досрочного расторжения вклада занимает минуты, в других – день-два. В некоторых банках деньги доступны уже утром в день завершения вклада, в других – только на следующий день. Заказывать наличные деньги в некоторых банках нужно заранее за несколько дней, в других нужную сумму в разумных пределах можно получить без заказа. Но, в любом случае, отличия по срокам получения денег не слишком велики.

А вот по части «без потерь» все значительно сложнее. Если речь идет о досрочном закрытии, то большинство вкладов выплачивают без процентов. Зачастую даже с удержанием ранее выплаченных процентов. У некоторых вкладов предусмотрено «льготное расторжение» под сниженный, но всё же не нулевой процент. Есть даже такие вклады, которые можно закрывать без потери процентов раз в квартал или в год. Весьма полезное свойство, ради которого, возможно, стоит пожертвовать и какой-то частью процентов доходности.

Кроме того, к ликвидности можно отнести возможность вывести без потерь полученные деньги безналичным способом: через систему быстрых переводов (СБП), межбанковским переводом или переводом с карты на карту. В наши дни ездить с полуторамиллионной «котлетой» в кармане как-то некомфортно. 

Срок действия – важнейшая характеристика вклада. Прежде всего, его нужно учитывать в связи со второй заповедью вкладчика. Ещё недавно некоторые вкладчики открывали трехлетние вклады под 6% годовых. Сейчас такая ставка может вызвать только слезы. А досрочное расторжение возможно только с потерей уже начисленных процентов… Кроме того, срок вклада может влиять на его доходность, если выплата процентов идет в конце срока (см. ниже).

Как сравнить доходность вкладов

Достаточно ли для сравнения доходности просто сравнить проценты, которые указаны в условиях вклада?

Сравним два вклада. Оба на 3 года, оба под 12% годовых. Но у первого выплата процентов будет в начале срока, а у второго – в конце. Можно ли считать, что их доходность одинакова? Очевидно – нет.

Ценность одной и той же суммы денег, полученной в начале и в конце срока, будет отличаться из-за инфляции. Например, если на проценты, полученные по первому вкладу, вы сможете купить 10 килограммов картошки, то при продуктовой инфляции в 11% , через 3 года картошка станет в 1,37 раза дороже, и вы сможете купить на те же деньги только 7,3 килограмма. Учет снижения цены денег называют дисконтированием.

Если вы не купите на полученные деньги картошку, а инвестируете их, например на такой же вклад, то получите дополнительный инвестиционный доход.

Итак, вполне очевидно, что вклад с выплатой дохода вначале более выгоден, чем аналогичный вклад с выплатой в конце, а вклад с ежемесячной выплатой процентов выгоднее, чем вклад с ежеквартальной выплатой. Продемонстрируем это математически.

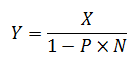
Обозначим:

Y – сумма, которую мы получим на руки при закрытии вклада (финансовый результат).
Х – начальная сумма вклада (например, 100 000 рублей).
N – длительность вклада в годах (например, 3).

P – номинальный процент по вкладу, деленный на 100 (например, 0,1).

Если проценты по вкладу выплачиваются в конце:

image.png.ab4f73686b3cdca8312723c3a6f1d8e2.png

Подставим цифры:

image.png.66f6459c3e4586f319bbd0de446798ef.png

Теперь представим себе, что проценты каждый год зачисляются на вклад, увеличивая, таким образом, его сумму (капитализируются).

Тогда через год у вас на вкладе будет:

image.png.3d8decab6358d2d46bd30d1ffe179e4a.png

Через два года:

image.png.fef38329a2dc13c6efcf2b6b53c66e67.png

Через 3 года:

image.png.fb5eccfa58f7fc0776d82cb79d34f43a.png

Через N лет:

image.png.7070ad63467808c4640dccbd297dff6e.png

Подставим цифры:

image.png.1385d8110e77a9bf4fa0dee50be39df2.png

Если проценты капитализируются ежемесячно, то

Подставим цифры:

image.png.27cca3fefe708d42a72b41e463f6c4e0.png

В общем виде

image.png.7badb5c869d02b46c1e033d78bec9f30.png

Где: n – число капитализаций процентов за год.

Не буду утомлять читателей сложными математическими выкладками, но при капитализации процентов, выплаченных в начале вклада, итоговая сумма рассчитывается по формуле:

image.png.8a04f927381ccf186004b37d5b4c21c4.png

Подставим цифры:

image.png.98d7408f7cd468b25dfc6e0743e7d74f.png

А как быть, если проценты не капитализируются, а выплачиваются на текущий (карточный) счет? К сожалению, точно рассчитать сумму денег, которая окажется в вашем распоряжении после окончания срока вклада, в этом случае невозможно. Ведь мы не знаем заранее, как вам удастся инвестировать полученные деньги, или насколько изменится их покупательная способность. Например, в феврале 2024 года уровень продуктовой инфляции составил 12%. А каким он будет в ноябре 2024 года, не говоря уже о ноябре 2026 года? 1%? 4%? А может быть 100%? Не известно. И ни одна прогнозная модель не сможет ответить на это сколь-нибудь точно. Что же остается? Как нам сравнивать вклады с промежуточными выплатами процентов на текущий счет?

Единственный разумный вариант – считать, что доход при выплате на текущий счет будет такой же, как и при капитализации. При этом будем понимать, что расчет дохода в этом случае носит сугубо ориентировочный характер. А учитывать изменчивость финансовой ситуации следует путем применения второй заповеди вкладчика.

Итак, мы получили формулы для расчета финансового результата в рублях.

Если разделить финансовый результат на начальную сумму вклада, мы получим доходность:

image.png.2c985c59ba444fafff26589b23b64849.png

Таким образом мы можем избавиться при сравнении вкладов от влияния начальной суммы. Так, формула для расчета доходности вклада с капитализацией выглядит так:

image.png.cb52b039085ca494ad556e0dd781151b.png

Однако это доходность за весь срок вклада. А как сравнивать вклады с разной продолжительностью? Может быть, достаточно разделить полученную доходность на число лет вклада и мы получим «среднегодовую доходность»? Увы, но такой простой подход годится не для всех случаев.

Рассмотрим два вклада с одинаковой ставкой и одинаковой суммой вклада. Оба с выплатой в конце срока. Но первый – продолжительностью в год, а второй – в три года. Доход, полученный от первого вклада, будет ровно в три раза меньше дохода от второго вклада. Среднегодовая доходность у них выходит одинаковой. Но на самом деле вклад продолжительностью в год более доходный, чем тот, у которого продолжительность три года.

Допустим, что после завершения первого вклада, мы пролонгируем его на следующий срок на тех же условиях. Через год – ещё раз. В итоге, по завершению трех лет на первом вкладе окажется сумма существенно больше, чем на втором. Ведь проценты, полученные за первый и второй год, принесут дополнительные «проценты на проценты».

Слышу возмущенные крики про сферического коня в вакууме, и про то, что за год условия по вкладу НАВЕРНЯКА изменятся. Да, конь. Да сферический и в вакууме. Вы можете  предложить лучшую, более точную методику, основанную не на гадании на кофейной гуще и прогнозах сомнительного качества? Тогда Нобелевская премия за экономику вам гарантирована.

Ну а мы, грешные, приняв необходимые допущения, попробуем таки отыскать способ сравнения вкладов с разной продолжительностью.

 

Итак, вклады с выплатой «в конце» нельзя сравнивать с применением среднегодовой доходности. Нельзя сравнивать таким образом и вклады с капитализацией, у которых периодичность капитализации разная. А вот вклады с одинаковым периодом капитализации сравнивать можно. В самом деле, если сравнить три вклада с ежегодной капитализацией, первый из которых открывается на 1 год, другой на 2 года, а третий на 10 лет, то, при условии пролонгации двух первых вкладов на тех же условиях, после истечения 10 лет сумма на всех трех вкладах окажется абсолютно одинаковой. То есть среднегодовая доходность вкладов с ежегодной капитализацией НЕ ЗАВИСИТ от срока вклада.

Так как же сравнивать вклады с разной продолжительностью и с разным способом начисления процентов? Для этого для каждого из вкладов, которые надо сравнить, мы подбираем эквивалентный по финансовому результату вклад, такой же продолжительности, но с ежегодной капитализацией.

Итак, для каждого из сравниваемых вкладов мы получаем эквивалентные по доходности вклады с ежегодной капитализацией. А вот такие вклады сравнивать легко. У какого вклада процентная ставка выше – тот и выгоднее.

Например, вклад со сроком в 3 года, номинальной ставкой в 9% годовых, и выплатой процентов в конце срока принесет точно такой же доход, как вклад также сроком на 3 года но с ежегодной капитализацией и номинальной ставкой 8,3%.

И вклад, сроком на один год с ежемесячной капитализацией и ставкой 8%, принесет точно такой же доход, как вклад с ежегодной капитализацией и ставкой 8,3%.

Отсюда мы можем сделать вывод, что вклад на 3 года с выплатой в конце и ставкой в 9% равен по доходности вкладу сроком на 1 год с ежемесячной выплатой процентов и ставкой 8% годовых.

Для сравнения не обязательно выбирать в качестве эквивалентных вклады с ежегодной капитализацией. Можно – с ежемесячной или с ежеквартальной. Важно только для всех сравниваемых вкладов пользоваться эквивалентами с одинаковой периодичностью капитализации.

Осталось понять, КАК подобрать эквивалентный по доходности вклад.

Пусть:

image.jpeg.85a711aa7467bb856029748748fb22fa.jpeg

Сравним два вклада с выплатой в конце и с ежемесячной капитализацией, которые дадут одинаковый доход

image.jpeg.403af90c36d1411a4f5495c6ced7ff94.jpeg

Используем полученные выше формулы

image.jpeg.bc14f0d706fa81aacefe63cbbf826a4b.jpeg

После элементарных преобразований получаем

image.jpeg.c986f10805e132cc61211a28bc76f74f.jpeg

Аналогично

image.jpeg.ab1e261f09072473c48e7d08b7f81b27.jpeg

Для удобства сравнения была сделана электронная таблица, EXCEL, которую можно взять ЗДЕСЬ (в открывшемся окне выберите Файл / Скачать)В ячейку B3 вводится номинальная ставка (указанная в условиях вклада), в ячейке A3 из списка выбирается тип начисления процентов. В одной из двух ячеек (C3 или D3) вводится продолжительность вклада в годах (C3) или днях (D3).

Затем, по одной из приведенных выше формул (в зависимости от типа начисления процентов) рассчитывается эквивалентный по доходности процент по вкладу с выплатой в конце. И, наконец, по тем же формулам, только «вывернутым наизнанку» рассчитывается процент вкладов с эквивалентной доходностью с разными типами начисления процентов.

Отметим, что точно по тому же принципу работает расчет процентов в Таблице вкладов с максимальными процентами в рублях.

-------

А как рассчитать доходность эквивалентного вклада для вкладов со сложным способом начисления процентов: ступенчатых (с изменяющейся процентной ставкой), с промежуточными дополнительными взносами и выплатами? Здесь уже не получится обойтись одной формулой. Необходимо анализировать финансовые потоки. С такой проблемой столкнулись те, кто работает, например, с биржевыми облигациями. И для сравнения доходности облигаций был разработан механизм расчета доходности к погашению (англ. Yield to maturity; общепринятое сокращение — YTM). Есть несколько разных способов расчета YTM – через дисконтирование или через реинвестирование. Но одно из наиболее понятных определений этого термина таково: YTM равна номинальной процентной ставке вклада с ежегодной капитализацией, которые обеспечивает такую же доходность, как и облигация. Но если YTM – это, по сути тот же самый эквивалентный вклад, про который мы говорили раньше, то для расчета эквивалентной доходности для сложных вкладов можно использовать наработанные инструменты для расчета YTM. А наиболее удобный инструмент для расчета YTM – это функция EXCEL «ЧИСТВНДОХ» (XIRR – для нерусифицированных версий). Аналогичная функция есть в таблицах Google.

Рассмотрим, как работает эта функция на примере вклада, который предусматривает три годовых процентных периода, под 7, 8 и 9% годовых и с выплатой процентов раз в год.

image.png.c986d2c6a51e573c1170e273bfc0a11e.png

В ячейку A1 записываем дату открытия вклада. Например , 20.12.2021.

В ячейку B1 записываем сумму внесенных денег со знаком минус. Например, -100 000.

В ячейку A2 записываем дату первой выплаты процентов: 20.12.2022.

В ячейку B2 записываем сумму процентов за первый период: =100000*0,07

В ячейку A3 записываем дату второй выплаты процентов: 20.12.2023.

В ячейку B3 записываем сумму процентов за второй период: =100000*0,08

В ячейку A4 записываем дату закрытия вклада: 20.12.2024.

В ячейку B5 записываем сумму итоговых выплат: =100000*1,09

В ячейку B6 записываем формулу: =ЧИСТВНДОХ(B1:B4;A1:A4)

Получаем, что аналогичную рассматриваемому вкладу доходность обеспечит вклад с ежегодной капитализацией и процентной ставкой 7,94%.

--------------------------------------------------------------------------------------

PS. На одной из веток форума появилось очень простое и понятное объяснение расчета эквивалентной доходности вклада с выплатой в начале от уважаемого Псилон. Приведу его здесь, чтобы не потерялось.

Речь шла о вкладе «Проценты сразу» от ОТП Банка, предлагавшего 8.7% годовых с выплатой в начале на текущий счет. По расчете по формулам, про которые речь шла выше, получается, что этот вклад эквивалентен по доходности вкладу с ежегодной капитализацией и ставкой 9,53%. Уважаемый Псилон выходит на ту же самую цифру, но немного иначе. Вот что он пишет:

На вклад, например, 1 млн. банк сразу дает сдачу 87 т.р.

Т.е. на самом деле размещается 913 т.р.

Через год получаете обратно 1 млн.

Т.е. с 913 т.р. вложенных получаете 87 т.р. дохода.

87/913=0,0953=9,53%.

Налог

И в заключение поговорим о самом неприятном. С 2023 года доходы по вкладам стали облагаться налогом, размером в 13% (с 2025 года - 13 или 15%) (ст. 214.2 НК РФ). Причем налог этот берут не сразу при выплате процентов, а по итогам года. Так, по итогам 2023 года налог возьмут в 2024 году. До 30 октября ФНС определит, кому полагается налог, рассчитает сумму платежа и разошлет уведомления. До 1 декабря нужно будет уплатить налог.

Налог рассчитывается на всю сумму процентов по вкладам и счетам, полученных во всех банках в течение года. Не облагаются налогом только вклады с процентной ставкой, не превышающей 1% в течение всего срока действия. Важно, что при расчете налога имеет значение дата получения дохода, а срок, за который этот доход получен, не учитывается. И люди, открывшие в 2020 году трехлетние вклады с выплатой в конце, то есть в 2023 году, в 2024 году будут вынуждены уплатить налог со всей суммы полученного дохода!

При этом, капитализация (то есть зачисление процентов на счет самого вклада) приравнивается к выплате дохода, и налог учитывается в том году, когда была проведена эта капитализация (см. здесь)

При расчете налога, сумма полученного дохода со вкладов и счетов уменьшается на сумму, равную одному миллиону рублей, умноженную на максимальную в течение года ключевую ставку ЦБ РФ по состоянию на 1 число каждого месяца. Для 2023 года - 150 000 рублей. (Хотя на конец года ставка ЦБ была 16%, берется её значение на 1 декабря - 15%).

Можно ли как-то уменьшить сумму налога, не нарушая законодательство? Приведем несколько советов.

1. Распределяйте вклады между членами семьи. Ведь вычет получит каждый гражданин.

2. Имейте в виду, что открывая вклад на 3 года с выплатой в конце, вы получите доход за 3 года. Но вычет вам дадут только за один год - тот, в котором вы получите доход.

3. Доход от вкладов в банках относится к основной налоговой базе. А это значит, что по ним можно получить дополнительный инвестиционный, социальный и имущественный вычеты.

12.07.2024 Принят Федеральный Закон №176-Ф3 от 12.07.2024, касающийся прогрессивного налогообложения. Согласно этому закону, доходы по вкладам отнесены к особой налоговой базе, по которой не предусмотрены НИКАКИЕ вычеты: ни инвестиционный, ни социальный ни имущественный. Закон начнет действовать с 01.01.2025 года. То есть за налог на проценты по вкладам в 2024 году вычет должны дать, а вот за 2025 и последующие... увы...

*******

 

7 Комментариев


Рекомендуемые комментарии

A Mancio Ortega

Опубликовано

Сейчас есть еще тенденция объединения банков.

И вот интересно, если например Росбанк и Тинькофф объединяются, а вклад есть в обоих банках, то получается, в какой-то момент сумма застрахованная уменьшается до 1.4 миллиона, и нужно пристально следить чтобы не превысить лимит.

Спасибо за формулы, буду изучать!

BAY

Опубликовано

В 17.05.2024 в 16:38, A Mancio Ortega сказал:

И вот интересно, если например Росбанк и Тинькофф объединяются, а вклад есть в обоих банках, то получается, в какой-то момент сумма застрахованная уменьшается до 1.4 миллиона, и нужно пристально следить чтобы не превысить лимит.

Да это так. Действительно, таким образом вклад может оказаться незастрахованным. По этой причине (наряду с другими) ряд банков, реально входящих в одну группу  и будучи интегрированными, тем не менее формально не объединяются. Например, ТКБ и Инвестторгбанк, Мособлбанк и ПСБ.  Помню случаи, когда при объединении банков клиентам предоставлялась возможность досрочного закрытия вкладов без потери процента. Как будет при объединении Росбанка и Тинькофф... посмотрим.

B.F.D.

Опубликовано

Не подскажите конкретно из каких пунктов каких статей НК РФ будущей редакции ее можно посмотреть здесь https://ivo.garant.ru/#/document/76800589/paragraph/1:0 следует, что к доходам по вкладам не применимы никакие вычеты

BAY

Опубликовано

В 17.08.2024 в 18:15, B.F.D. сказал:

Не подскажите конкретно из каких пунктов каких статей НК РФ будущей редакции ее можно посмотреть здесь https://ivo.garant.ru/#/document/76800589/paragraph/1:0 следует, что к доходам по вкладам не применимы никакие вычеты

Налоговые базы определяются ст. 210 НК РФ.

В новой редакции НК РФ, которая вступит в силу с 01.01.2025 года, указывается, что (п.2 ст.210): «2. Налоговая база определяется отдельно по каждому виду доходов, в отношении которых установлены различные налоговые ставки».

При этом термин «Основная налоговая база» относится к доходам, облагаемым по ставке, определенной п. 1 ст.224 (13/15/18/20/22%). И именно по этой основной налоговой базе предусмотрены вычеты (см. п.3 ст. 210 в новой редакции):

Цитата

3. Основная налоговая база определяется как денежное выражение доходов, подлежащих налогообложению и учитываемых при определении указанной налоговой базы, уменьшенных на сумму налоговых вычетов, предусмотренных статьями 218 - 221 настоящего Кодекса

218-221 статьи как раз и определяют стандартные, социальные, инвестиционные, имущественные  и др. вычеты.

П.6 ст. 210 определяет «налоговые базы, в отношении которых применяется налоговая ставка, предусмотренная пунктом 1.1 статьи 224» (13/15%). В том числе «12) налоговая база по доходам в виде процентов по вкладам (остаткам на счетах) в банках, находящихся на территории Российской Федерации».

В том же пункте 6 ст. 210 для некоторых налоговых баз указано, что «соответствующие доходы уменьшаются на сумму налоговых вычетов».

Так, например, указано, что при определении налоговой базы по доходам от продажи имущества, доходы уменьшаются на сумму имущественного налогового вычета, при определении налоговой базы по доходам по операциям с ценными бумагами, доходы уменьшаются на сумму ЛДВ (льгота на долговременное владение) и вычеты при переносе убытков, и т.д. А вот в отношении налоговой базы по доходам в виде процентов по вкладам этого не указано. А стало быть, действует п. 4 ст. 210

Цитата

4. Если иное не установлено пунктом 6 настоящей статьи, при определении налоговой базы, не указанной в пункте 2.1 или 2.2 настоящей статьи, налоговая база определяется как денежное выражение соответствующих доходов, подлежащих налогообложению.

То есть, проще говоря, никакие вычеты не предусмотрены.

B.F.D.

Опубликовано

Благодарю за разъяснения. Обидно только, что о таком важном изменении, похоже, можно узнать только из вашего поста, поскольку нигде более не встречал данной информации даже в ссылках первой страницы, выдаваемых поисковиком яндекса на запрос "изменения в налоговом кодексе 2025".

B.F.D.

Опубликовано

"То есть за налог на проценты по вкладам в 2024 году вычет должны дать, а вот за 2025 и последующие... увы..."

BAY я правильно понял, что в 2025 году еще можно будет получить вычеты по процентам с вкладов полученных в 2024 году?

BAY

Опубликовано

В 01.11.2024 в 16:59, B.F.D. сказал:

BAY я правильно понял, что в 2025 году еще можно будет получить вычеты по процентам с вкладов полученных в 2024 году?

С вероятностью порядка 99,9% да. В 2024 году доходы по вкладам относятся к основной налоговой базе и по ним можно получать вычеты. Оставляю 0,1% на то, что ФНС скажет, что вычеты предстоит оформлять в 2025 году, когда ситуация иная. Впрочем, это скорее паранойя.

Гость
Добавить комментарий...

×   Вставлено с форматированием.   Вставить как обычный текст

  Разрешено использовать не более 75 эмодзи.

×   Ваша ссылка была автоматически встроена.   Отображать как обычную ссылку

×   Ваш предыдущий контент был восстановлен.   Очистить редактор

×   Вы не можете вставлять изображения напрямую. Загружайте или вставляйте изображения по ссылке.

×
×
  • Создать...