Linel Опубликовано 31 Декабря, 2023 в 08:40 Опубликовано 31 Декабря, 2023 в 08:40 АО "Российский Сельскохозяйственный банк" - один из крупнейших банков в России. Основан в 2000 г. в целях развития национальной кредитно-финансовой системы агропромышленного сектора и сельских территорий России. Сегодня это универсальный коммерческий банк, предоставляющий все виды банковских услуг и занимающий лидирующие позиции в финансировании агропромышленного комплекса России. Является универсальным розничным банком для граждан и бизнеса, имеет более 10 млн клиентов. Контакт Представителя Банка на форуме Ольги Викторовны https://kupus.me/forum/profile/269-vjatkina-olga-viktorovna/?wr=eyJhcHAiOiJjb3JlIiwibW9kdWxlIjoibWVzc2FnaW5nLWNvbW1lbnQiLCJpZF8xIjoxNjQsImlkXzIiOjY1NH0= Wedeon, Вяткина Ольга Викторовна, Инжиринка и 1 другой 4 Цитата
spero Опубликовано 11 Апреля, 2024 в 10:54 Опубликовано 11 Апреля, 2024 в 10:54 В 11.04.2024 в 13:48, chvi сказал: Пока сидела ,обратила внимание ,что никто не забирает средства из банка ,а в основном все переоформляют на новые сроки. Так что держится РСХБ и основная масса все равно остается клиентом этого банка. Вчера звонили из банка, предупреждая, что сегодня закончатся 2 моих 3-месячных Доходных по 14%. Чуть не пропустил, спасибо сотрудникам! chvi и MAVR1 2 Цитата
spero Опубликовано 11 Апреля, 2024 в 17:04 Опубликовано 11 Апреля, 2024 в 17:04 Только что поступил с закончившимися так: один закрыл и на всякий случай открыл ещё одну Копилку по 10.5%. Другой решил оставить до завтра. не знаю, пролонгируется ли ещё на 3 месяца, на сайте предупреждение о прекращении открытия и пролонгации некоторых вкладов и счетов. Цитата
chvi Опубликовано 11 Апреля, 2024 в 17:30 Опубликовано 11 Апреля, 2024 в 17:30 В 11.04.2024 в 20:04, spero сказал: Другой решил оставить до завтра. не знаю, пролонгируется ли ещё на 3 месяца, на сайте предупреждение о прекращении открытия и пролонгации некоторых вкладов и счетов. Пролонгируется . Пока еще все пролонгируется и открывается .Вот информация от ПБ Ольги Викторовны Цитата С 22.04.2024 будет прекращена возможность открытия новых вкладов и пролонгация ранее открытых вкладов "Доходный", "Пополняемый", "Комфортный". До 22 будет и пролонгация и возможность открытия вкладов .Я же сегодня открыла Доходный. И мой знакомый тоже открыл сегодня Доходный на 180 дней ,у него закончился вклад Доходный, открытый в марте прошлого года на 395 дней. MAVR1, spero и Vonogl 1 2 Цитата
N@dya Опубликовано 12 Апреля, 2024 в 07:54 Опубликовано 12 Апреля, 2024 в 07:54 В 11.04.2024 в 13:54, spero сказал: Вчера звонили из банка, предупреждая, что сегодня закончатся 2 моих 3-месячных Доходных по 14%. Чуть не пропустил, спасибо сотрудникам! Мне еще и на электронную почту присылают Цитата
Волчья Ягода Опубликовано 18 Апреля, 2024 в 12:01 Опубликовано 18 Апреля, 2024 в 12:01 Коллеги, а каким образом в ИБ можно открыть этот новый вклад-конструктор "Свой вклад"? МП Россельхоза у меня нет, а в ИБ так и не нашла предложения по открытию. Пришлось открыть "Доходный". Мне интересно, это глюк какой то, или у всех так? Цитата
Linel Опубликовано 18 Апреля, 2024 в 12:27 Автор Опубликовано 18 Апреля, 2024 в 12:27 В 18.04.2024 в 15:01, Волчья Ягода сказал: Коллеги, а каким образом в ИБ можно открыть этот новый вклад-конструктор "Свой вклад"? МП Россельхоза у меня нет, а в ИБ так и не нашла предложения по открытию. Пришлось открыть "Доходный". Мне интересно, это глюк какой то, или у всех так? У меня в ИБ нет этого вклада. Возможно, он появится с 22 апреля, когда будет прекращен прием старых вкладов. Цитата
NoGo1 Опубликовано 18 Апреля, 2024 в 12:27 Опубликовано 18 Апреля, 2024 в 12:27 У всех так. Но кроме названия старый Доходный ничем не отличается от нового Своего. Так что ничего не потеряли. MAVR1 и Linel 2 Цитата
chvi Опубликовано 18 Апреля, 2024 в 12:40 Опубликовано 18 Апреля, 2024 в 12:40 В 18.04.2024 в 15:27, Linel сказал: У меня в ИБ нет этого вклада. Возможно, он появится с 22 апреля, когда будет прекращен прием старых вкладов. В МП он есть. В ИБ нет. Возможно появится 22 апреля . В 18.04.2024 в 15:27, NoGo1 сказал: Но кроме названия старый Доходный ничем не отличается от нового Своего. Свой вклад допускает пролонгацию ,а Доходный уже не пролонгируется. Возможно ,для кого то это имеет значение . Например для наследников ,если оформлен на небольшой срок вклад и он закончился у наследодателя ранее вступления в наследство ,то Свой вклад пролонгируется еще на такой же срок , а Доходный будет лежать без процентов. Конечно, лучше сейчас открывать все таки Свой вклад.В МП его можно открыть. spero, MAVR1, Linel и 1 другой 3 1 Цитата
Linel Опубликовано 22 Апреля, 2024 в 07:26 Автор Опубликовано 22 Апреля, 2024 в 07:26 Появился у кого-нибудь в ИБ «Свой вклад»? Я сейчас от компа далеко, сама посмотреть не могу Цитата
Linel Опубликовано 22 Апреля, 2024 в 10:44 Автор Опубликовано 22 Апреля, 2024 в 10:44 Добралась до компа, посмотрела. "Своего вклада" нет, только Пенсионный плюс. Написала Ольге Викторовне. MAVR1 1 Цитата
GVV Опубликовано 22 Апреля, 2024 в 20:40 Опубликовано 22 Апреля, 2024 в 20:40 В 22.04.2024 в 13:44, Linel сказал: Добралась до компа, посмотрела. "Своего вклада" нет, только Пенсионный плюс. Не успели подготовиться. В Колхозе медленно запрягают. Опять таки паводок мог помешать или другие объективные причины. Цитата
Linel Опубликовано 23 Апреля, 2024 в 04:20 Автор Опубликовано 23 Апреля, 2024 в 04:20 Ольга Викторовна сказала, что сегодня этой проблемой будет заниматься соответствующая служба GVV и MAVR1 2 Цитата
Вяткина Ольга Викторовна Опубликовано 25 Апреля, 2024 в 07:02 Опубликовано 25 Апреля, 2024 в 07:02 Доброе утро! "Свой вклад" в Интернет-Банке не доступен к открытию. Необходимо использовать Мобильное приложение либо web-версию. marimba и chvi 2 Цитата
Волчья Ягода Опубликовано 25 Апреля, 2024 в 12:31 Опубликовано 25 Апреля, 2024 в 12:31 В 25.04.2024 в 11:02, Вяткина Ольга Викторовна сказал: "Свой вклад" в Интернет-Банке не доступен к открытию. Необходимо использовать Мобильное приложение либо web-версию. Вот это номер! То есть, если хочешь открыть единственный существующий вклад в этом банке (пенсионный+ не в счет, его почему то можно открыть в ИБ, причем не только пенсионерам, но под 6%), то принуждают устанавливать мобильное приложение, иначе никак дистанционно, а при открытии в офисе проценты ниже! Надеюсь кто то уже составляет жалобу в ЦБ! А вообще у меня нехорошие предчувствия, причем не только относительно этого банка! Не пора ли прощаться? Цитата
Linel Опубликовано 25 Апреля, 2024 в 12:36 Автор Опубликовано 25 Апреля, 2024 в 12:36 У меня когда-то было МП, но я его удалила еще в 2020г. за ненадобностью, к тому же было оно на другом устройстве, и теперь его никак не восстановишь. Потом обходилась ИБ. Для айфона сейчас в Апп Сторе есть приложение, которое называется "Берегу". Если уж очень понадобится открыть вклад, придется его скачать. Вообще, конечно, отношение к клиентам в этом банке оставляет желать лучшего. Цитата
GVV Опубликовано 25 Апреля, 2024 в 16:39 Опубликовано 25 Апреля, 2024 в 16:39 (изменено) В 25.04.2024 в 11:02, Вяткина Ольга Викторовна сказал: "Свой вклад" в Интернет-Банке не доступен к открытию. Это отвратительно. Еще нагло врут что он доступен к открытию в ИБ на своем сайте Изменено 25 Апреля, 2024 в 16:59 пользователем GVV Helen19 1 Цитата
chvi Опубликовано 27 Апреля, 2024 в 08:52 Опубликовано 27 Апреля, 2024 в 08:52 На сайте РСХБ появился документ на тарифы на переводы,которые вводятся в действие с 01.05. 2024 г. Скорее всего тоже увеличивают лимиты на переводы до 30 млн.руб .Но по ссылке на тарифы пока выдается ощибка ,что страница не существует. Видно еще не доделали до конца. https://www.rshb.ru/natural/258e9006-2e04-416e-87f6-16a2f512e988 Linel 1 Цитата
chvi Опубликовано 27 Апреля, 2024 в 12:02 Опубликовано 27 Апреля, 2024 в 12:02 В 25.04.2024 в 19:39, GVV сказал: Это отвратительно. Еще нагло врут что он доступен к открытию в ИБ на своем сайте Все вернули. Видно со вкладом Свой вклад что то не заладилось . В МП и ИБ доступны к открытию все ранее существовавшие вклады . MAVR1, Linel и GVV 3 Цитата
GVV Опубликовано 27 Апреля, 2024 в 17:30 Опубликовано 27 Апреля, 2024 в 17:30 В 27.04.2024 в 16:02, chvi сказал: Все вернули. Видно со вкладом Свой вклад что то не заладилось Свой среди чужих. Чужой среди своих. MAVR1 1 Цитата
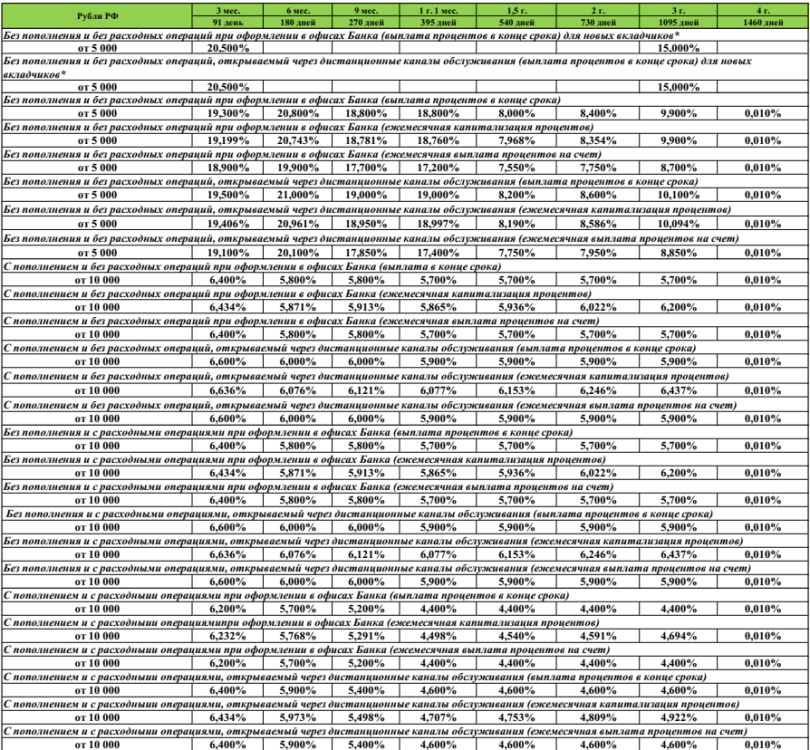
Linel Опубликовано 28 Апреля, 2024 в 12:03 Автор Опубликовано 28 Апреля, 2024 в 12:03 На сайте банка объявление: Внимание! С 27.04.2024 возобновлен прием денежных средств в новые вклады «Доходный», «Пополняемый и «Комфортный», а так же их пролонгация Внизу страницы документ "Процентные ставки по вкладам с 27.04.2024г.» https://www.rshb.ru/natural/deposits Семь и MAVR1 1 1 Цитата
Семь Опубликовано 28 Апреля, 2024 в 13:19 Опубликовано 28 Апреля, 2024 в 13:19 В 28.04.2024 в 15:03, Linel сказал: На сайте банка объявление: Внимание! С 27.04.2024 возобновлен прием денежных средств в новые вклады «Доходный», «Пополняемый и «Комфортный», а так же их пролонгация Внизу страницы документ "Процентные ставки по вкладам с 27.04.2024г. https://www.rshb.ru/natural/deposits Надо же. Спохватились. Видимо, поняли, что с 1 мая сильно вынесут банк. Мы вот последний семейный асв заберем в мае. Какой смысл держать под 10% на НС, если в ДомРФ уже 15? chvi, MAVR1 и svivl-n 3 Цитата
chvi Опубликовано 28 Апреля, 2024 в 14:33 Опубликовано 28 Апреля, 2024 в 14:33 В 28.04.2024 в 16:19, Семь сказал: Надо же. Спохватились. Видимо, поняли, что с 1 мая сильно вынесут банк. Никто этот банк не вынесет .В этом банке клиентов определенной категории также много ,как в Сбербанке ,и они будут размещать в этом банке средства по любым ставкам. Я же здесь уже писала об этом недавно,когда была в офисе и оформляла вклад ,что народу в офисе было много , в основном все переоформляли вклады. Цитата Только что приехала из отделения. Народу полно .Впервые за несколько лет посидела в очереди,так как офис без Премиум и там без очереди не обслужиться ,а управляющий, который меня обслуживал как то в этом офисе без очереди ,тоже был занят. Пока сидела ,обратила внимание ,что почти никто не забирает средства из банка ,а в основном все переоформляют на новые сроки. Так что держится РСХБ и основная масса все равно остается клиентом этого банка. Денег в кассе было полно .У меня заканчивался вклад на большую сумму ,на часть суммы оформила Доходный на полгода ,остальные сняла в кассе . Я заказала одну сумму , но смогла снять на 500 т руб больше заказанной суммы,сказали,что деньги есть -берите .Если бы был вынос ,то вряд ли бы выдали такую сумму без предварительного заказа. Linel, spero, Mavic1 и 1 другой 3 1 Цитата
GVV Опубликовано 28 Апреля, 2024 в 16:05 Опубликовано 28 Апреля, 2024 в 16:05 В 28.04.2024 в 18:33, chvi сказал: Никто этот банк не вынесет . Никогда не говори никогда Vonogl 1 Цитата
maldo Опубликовано 29 Апреля, 2024 в 08:26 Опубликовано 29 Апреля, 2024 в 08:26 (изменено) Здравствуйте. Сегодня вклад заканчивается, но сегодня у нас офисы не работают, только завтра, если закрою вклад и переведу средства на Мою Копилку, а завтра сниму сумму за минусом 100,01, не возникнет ли комиссия за снятие не отлежавших безналичных средств и что сделать в данной ситуации , чтобы с минимальными потерями вывести средства, размером в 1 АСВ? Изменено 29 Апреля, 2024 в 08:28 пользователем maldo Цитата
chvi Опубликовано 29 Апреля, 2024 в 08:45 Опубликовано 29 Апреля, 2024 в 08:45 В 29.04.2024 в 11:26, maldo сказал: Здравствуйте. Сегодня вклад заканчивается, но сегодня у нас офисы не работают, только завтра, если закрою вклад и переведу средства на Мою Копилку, а завтра сниму сумму за минусом 100,01, не возникнет ли комиссия за снятие не отлежавших безналичных средств и что сделать в данной ситуации , чтобы с минимальными потерями вывести средства, размером в 1 АСВ? Закрывайте вклад и открывайте Мою Копилку.Завтра на ней уже начислятся проценты за 1 день . Можно на ней ничего не оставлять ,а завтра и закрыть. Снятие в кассе таких средств будет без комиссии. РСХБ отслеживает первичное поступление средств ,а далее перевод между своими счетами не имеет значения . MAVR1 и maldo 2 Цитата
GVV Опубликовано 29 Апреля, 2024 в 08:46 Опубликовано 29 Апреля, 2024 в 08:46 В 29.04.2024 в 12:26, maldo сказал: Здравствуйте. Сегодня вклад заканчивается, но сегодня у нас офисы не работают, только завтра, если закрою вклад и переведу средства на Мою Копилку, а завтра сниму сумму за минусом 100,01, не возникнет ли комиссия за снятие не отлежавших безналичных средств и что сделать в данной ситуации , чтобы с минимальными потерями вывести средства, размером в 1 АСВ? комиссия не возникнет... Лично я бы подождал 1 день и перевел бесплатно по СБП с 1 мая. spero и maldo 1 1 Цитата
chvi Опубликовано 29 Апреля, 2024 в 08:50 Опубликовано 29 Апреля, 2024 в 08:50 В 29.04.2024 в 11:46, GVV сказал: Лично я бы подождал 1 день и перевел бесплатно по СБП с 1 мая. Посмотрим ,как РСХБ позволит вывести АСВ без всяких блокировок . Честно говоря,я не очень надеюсь на такие переводы с быстрым выводом из банков. Linel и MAVR1 2 Цитата
maldo Опубликовано 29 Апреля, 2024 в 09:05 Опубликовано 29 Апреля, 2024 в 09:05 В 29.04.2024 в 11:46, GVV сказал: Лично я бы подождал 1 день и перевел бесплатно по СБП с 1 мая. Если бы с Тинькофф выводил, то может бы и не сомневался, что разом даже 30млн удастся по СБП перевести, а вот в РСХБ как-то не уверен, что даже полторашку без проблем получится вывести. Linel 1 Цитата
GVV Опубликовано 29 Апреля, 2024 в 10:06 Опубликовано 29 Апреля, 2024 в 10:06 В 29.04.2024 в 13:05, maldo сказал: Если бы с Тинькофф выводил, то может бы и не сомневался, что разом даже 30млн удастся по СБП перевести, а вот в РСХБ как-то не уверен, что даже полторашку без проблем получится вывести. Банк видит если вы переводите между своими счетами хоть и в разных банках. Я не вижу смысла таких блокировок. Но как там будет на практике посмотрим. Я надеюсь на разумный подход банка Цитата
Linel Опубликовано 29 Апреля, 2024 в 12:19 Автор Опубликовано 29 Апреля, 2024 в 12:19 В 29.04.2024 в 11:50, chvi сказал: Посмотрим ,как РСХБ позволит вывести АСВ без всяких блокировок . Честно говоря,я не очень надеюсь на такие переводы с быстрым выводом из банков. Я помню, что когда дебетовка РСХБ еще не была антидонором, банк блокировал мне стягивания с нее даже на небольшие суммы. Ну ладно, это делалась сервисом стороннего банка, и РСХБ не был уверен, что это делаю я, но люди на склянках писали, что им он блокировал даже вывод по СБП. У меня, правда, таких случаев не было. Допускаю, что с 1 мая блокировки могут участиться. MAVR1 1 Цитата
spero Опубликовано 1 Мая, 2024 в 05:58 Опубликовано 1 Мая, 2024 в 05:58 Здравствуйте, уважаемые собеседники по форуму, с первомаем вас! Совет хочу спросить. На Копилке (10.5%) лежат средства неприлично большие. Я правильно понимаю, что если вздумаю сейчас частично перебросить средства на Доходные, то стоит полностью закрыть Копилку и открыть Доходные, а потом сразу открыть новую Копилку на оставшиеся средства? Цитата
chvi Опубликовано 1 Мая, 2024 в 06:10 Опубликовано 1 Мая, 2024 в 06:10 В 01.05.2024 в 08:58, spero сказал: Здравствуйте, уважаемые собеседники по форуму, с первомаем вас! Совет хочу спросить. На Копилке (10.5%) лежат средства неприлично большие. Я правильно понимаю, что если вздумаю сейчас частично перебросить средства на Доходные, то стоит полностью закрыть Копилку и открыть Доходные, а потом сразу открыть новую Копилку на оставшиеся средства? Да, все так, я так делала уже не 1 раз. А вообще раньше открывала несколько копилок сразу, чтобы закрывать одну по мере надобности денег. Сейчас на копилках в Рсхб ничего не держу, так как есть открытые НС в других банках с лучшими условиями. Linel, MAVR1 и spero 3 Цитата
Linel Опубликовано 1 Мая, 2024 в 10:41 Автор Опубликовано 1 Мая, 2024 в 10:41 С 1 мая РСХБ повысил процент по НС "Моя копилка". Повышена процентная надбавка при покупках по Своей карте: 16% годовых на минимальный остаток при покупках от 70 тыс., 15% при покупках 30-70 тыс., 14% при покупках 10-30 тыс. Базовая ставка 10.5%. https://www.rshb.ru/natural/deposits/my-moneybox Цитата
spero Опубликовано 1 Мая, 2024 в 17:52 Опубликовано 1 Мая, 2024 в 17:52 В 01.05.2024 в 13:41, Linel сказал: С 1 мая РСХБ повысил процент по НС "Моя копилка". Повышена процентная надбавка при покупках по Своей карте: 16% годовых на минимальный остаток при покупках от 70 тыс., 15% при покупках 30-70 тыс., 14% при покупках10-30 тыс. Базовая ставка 10.5%. Ничего себе копилкаЧтобы накопить, нужно ещё больше потратить Linel, MAVR1, svivl-n и 2 других 2 2 1 Цитата
Silver21 Опубликовано 2 Мая, 2024 в 17:18 Опубликовано 2 Мая, 2024 в 17:18 В 01.05.2024 в 21:52, spero сказал: Ничего себе копилкаЧтобы накопить, нужно ещё больше потратить Не забывайте, что сумма всех средств на накопительных счетах в течении месяца не должна превышать 1 млн. рублей, иначе никаких надбавок. Трать не трать, получишь базовую ставку. Семь 1 Цитата
NoGo1 Опубликовано 3 Мая, 2024 в 04:37 Опубликовано 3 Мая, 2024 в 04:37 Размещены новые правила проведения маркетинговой акции «Выгодные траты». Linel 1 Цитата
Семь Опубликовано 3 Мая, 2024 в 05:38 Опубликовано 3 Мая, 2024 в 05:38 В 02.05.2024 в 20:18, Silver21 сказал: Не забывайте, что сумма всех средств на накопительных счетах в течении месяца не должна превышать 1 млн. рублей, иначе никаких надбавок. Трать не трать, получишь базовую ставку. Увидела в МП, что порог повысили до 3 млн roomet, spero и Linel 3 Цитата
Семь Опубликовано 3 Мая, 2024 в 05:40 Опубликовано 3 Мая, 2024 в 05:40 Жаль, что поздно. Мы разнесли все по другим банкам. На этих условиях три бы оставили в РСХБ. На данный момент возвращаться нет смысла Silver21, chvi и spero 3 Цитата
spero Опубликовано 7 Мая, 2024 в 20:39 Опубликовано 7 Мая, 2024 в 20:39 (изменено) Сегодня заметил, что в веб-версии рсхб при открытии Копилки не стало опции "Счёт списания". Просто открываешь её и всё. Счёт на момент открытия нулевой. Жмёшь на кнопку "согласен с условиями", и всё, счёт открыт. А дальше внизу нарисована опция "Пополнить", и уже потом выбираешь, откуда пополнить. По-моему, стало более логично, хотя пока и не совсем привычно. По-видимому, были претензии, что сослепу не разобрали, с какого счёта производится пополнение (особенно если их много), и у кого-то закрывались срочные вклады с потерей. Понимаю. Респект банку. Изменено 8 Мая, 2024 в 18:42 пользователем spero chvi и svivl-n 1 1 Цитата
GVV Опубликовано 8 Мая, 2024 в 07:46 Опубликовано 8 Мая, 2024 в 07:46 В 08.05.2024 в 00:39, spero сказал: По-видимому, были претензии, что сослепу не разобрали, с какого счёта производится пополнение (особенно если их много), и у кого-то закрывались срочные вклады с потерей. Понимаю. Респект банку. Закрыть вклад таким образом нельзя. Списания были возможны только с расходных счетов. На днях открывал Копилку с одновременным списанием. Было очень удобно и гарантия что счет не откроется пустым. Так что преимуществ нововведений не вижу Цитата
spero Опубликовано 8 Мая, 2024 в 07:59 Опубликовано 8 Мая, 2024 в 07:59 В 08.05.2024 в 10:46, GVV сказал: Закрыть вклад таким образом нельзя. Списания были возможны только с расходных счетов. Всего скорей так, пусть со счетов или карт. Но когда их у тебя десяток или больше... Цитата
spero Опубликовано 8 Мая, 2024 в 09:29 Опубликовано 8 Мая, 2024 в 09:29 В 08.05.2024 в 10:46, GVV сказал: Закрыть вклад таким образом нельзя. При должном упорстве возможно всё Цитата
F.R Опубликовано 12 Мая, 2024 в 11:02 Опубликовано 12 Мая, 2024 в 11:02 Подскажите, пожалуйста, 13 апреля закрыл вклад, вывел деньги. Начиная с 14 апреля в РСХб не было средств. По описанию с сайта: "Новый" - у кого не было вкладов в течение 30 дней до обращения в Банк (включая дату обращения). Получается, 13 мая - это тридцатый день отсутствия вкладов. Открыться как «Новый», получится 13 мая или только 14 мая? Вяткина Ольга Викторовна 1 Цитата
Linel Опубликовано 12 Мая, 2024 в 19:03 Автор Опубликовано 12 Мая, 2024 в 19:03 Ответ Ольги Викторовны: можете размещать вклад 13 мая. Вяткина Ольга Викторовна и F.R 2 Цитата
It's me Опубликовано 6 Июня, 2024 в 13:52 Опубликовано 6 Июня, 2024 в 13:52 Как выглядит в РСХБ закрытие вклада с % в конце срока. Дождаться когда % упадут на ТС а потом вручную закрывать вклад? Цитата
helga_spb Опубликовано 6 Июня, 2024 в 16:04 Опубликовано 6 Июня, 2024 в 16:04 А, что интересного в Колхозе для новых? Цитата
chvi Опубликовано 6 Июня, 2024 в 16:47 Опубликовано 6 Июня, 2024 в 16:47 В 06.06.2024 в 16:52, It's me сказал: Как выглядит в РСХБ закрытие вклада с % в конце срока. Дождаться когда % упадут на ТС а потом вручную закрывать вклад? Да ,все так. Проценты появятся уже рано утром. Но в выписке вы их не найдете. Лучше всего накануне закрытия нажать на вклад и там будет вся информация и в последней строке будет указана Планируемая сумма процентов к выплате на дату закрытия. Эта сумма у вас будет на том счете, который вы указали при открытии вклада. Вклад можно будет закрыть. MAVR1, It's me и Linel 2 1 Цитата
chvi Опубликовано 6 Июня, 2024 в 16:48 Опубликовано 6 Июня, 2024 в 16:48 В 06.06.2024 в 19:04, helga_spb сказал: А, что интересного в Колхозе для новых? Ставка по вкладу Доходный на 0,5% выше, чем для остальных. На сегодня это 16 % с выплатой в конце срока на срок 6 месяцев. helga_spb и Vonogl 2 Цитата
Волчья Ягода Опубликовано 23 Июня, 2024 в 10:02 Опубликовано 23 Июня, 2024 в 10:02 Коллеги, подскажите пожалуйста. Может ли постороннее физ.лицо пополнить счет другого физ.лица наличными в кассе банка? Цитата
Арим88 Опубликовано 23 Июня, 2024 в 10:05 Опубликовано 23 Июня, 2024 в 10:05 В 23.06.2024 в 13:02, Волчья Ягода сказал: Коллеги, подскажите пожалуйста. Может ли постороннее физ.лицо пополнить счет другого физ.лица наличными в кассе банка? Может, пополняла. Волчья Ягода 1 Цитата
Рекомендуемые сообщения
Присоединяйтесь к обсуждению
Вы можете написать сейчас и зарегистрироваться позже. Если у вас есть аккаунт, авторизуйтесь, чтобы опубликовать от имени своего аккаунта.